Influenza Bulletin
NATIONAL WEEKLY INFLUENZA BULLETIN OF THE RUSSIAN FEDERATION
week 18 of 2026 (27.04.26 - 03.05.26)
Summary
Influenza and ARI incidence data. Influenza and other ARI activity in Russia decreased in comparison with previous week. The nationwide ILI and ARI morbidity level (45.8 per 10 000 of population) was lower than national baseline (82.9) by 44.8%.
Etiology of ILI & ARI. Among 6118 patients investigation 56 (0.9%) respiratory samples were positive for influenza, including 4 cases of unsubtyped influenza A in 2 cities, 30 cases of influenza A(H1N1)pdm09 in 7 cities, 5 cases of influenza A(H3N2) in 1 city and 17 cases of influenza B in 8 cities.
7 influenza viruses were isolated on MDCK cell culture, including: 6 influenza A(H1N1)pdm09 viruses in Krasnodar (4), Moscow (1), Saint-Petersburg (1) and 1 case of influenza B virus in Moscow (1). Since the beginning of the season 1022 influenza viruses were isolated, including: 79 A(H1N1)pdm09 viruses, 934 A(H3N2) viruses and 9 influenza B viruses.
Antigenic characterization. Since the beginning of the season 2025-2026 614 influenza viruses have been antigenically characterized by the NICs in Saint-Petersburg and Moscow, including: 61 influenza A(H1N1)pdm09 viruses, 549 influenza A(H3N2) viruses and 4 influenza B viruses. 27 viruses A(H1N1)pdm09 were similar to the reference strains A/Victoria/4897/22 recommended in the vaccines for the Northern Hemisphere countries for the 2025-2026 season, 34 strains were a drift variant. 9 influenza A(H3N2) viruses were similar to the reference strain A/Croatia/10136RV/23, also recommended in vaccines for countries in the Northern Hemisphere for the 2025-2026 season, 528 A(H3N2) viruses were a drift variant, 11 viruses A(H3N2) were similar to the reference strain A/Thailand/8/2022, one strain was a drift variant of the reference strain A/Thailand/8/2022. 3 influenza B viruses were similar to the vaccine strain B/Austria/1359417/2021 and one strain was a drift variant of the reference strain B/Austria/1359417/2021.
Genetic characterization. Since the beginning of the season 2025-2026 sequenced 1922 influenza viruses in Saint-Petersburg. 1840 influenza A(H3N2) viruses were similar to the vaccine strain A/Croatia/10136RV/2023, of which 1784 viruses belong to clade 3C.2a1b.2a.2a.3a.1 subclade K, 56 viruses belong to clade 3C.2a1b.2a.2a.3a.1. 75 A(H1N1)pdm09 viruses were similar to the vaccine strain A/Victoria/4897/2022 and were classified as clade 6B.1A.5a.2a.1, one strain was related to the reference strain A/Sydney/5/2021 and assigned to clade 6B.1A.5a.2a. 6 strain B viruses were similar to the vaccine strain B/Austria/1359417/2021 and were classified as clade V1A.3a.2.
Susceptibility to antivirals. Since the beginning of the season 2025-2026, the sensitivity of 437 influenza viruses to neuraminidase inhibitors (oseltamivir, zanamivir) were studied in NIC (Moscow, Saint-Petersburg), including: 25 influenza A(H1N1)pdm09 viruses, 411 influenza A(H3N2) viruses and 1 influenza B virus. All studied viruses were sensitive to neuraminidase inhibitors.
ARVI detections. The overall proportion of respiratory samples tested positive for other ARVI (PIV, ADV, RSV, RhV, CoV, MPV, BoV) was estimated in total as 19.6% (PCR).
In sentinel surveillance system clinical samples from 25 SARI patients were investigated by rRT-PCR for influenza, among them 1 (4.0%) case of influenza B was recognized. Among 25 SARI samples no positive cases for coronavirus SARS-CoV-2 were recognized. Among 25 SARI samples 10 (40.0%) cases positive for ARVI were detected including: 1 case of PIV, 1 case of ADV, 2 cases of RSV, 5 cases of RhV and 1 case of CoV infection.
Clinical samples from 27 ILI/ARI patient were investigated by rRT-PCR for influenza, among them no positive cases were recognized. Among 27 ILI/ARI samples 6 (22.2%) cases positive for ARVI were detected including: 1 case of PIV, 2 cases of RhV, 2 cases of MPV and 1 case of BoV infection. Among 27 ILI/ARI samples no positive cases for coronavirus SARS-CoV-2 were recognized.
COVID-19. According to the data obtained by NIC in Saint-Petersburg totally 8449 clinical samples were PCR investigated in last week. Among them coronavirus SARS-CoV-2 was detected in 83 (1.0%) cases.
Influenza and ARI morbidity data
Weeks
-
Morbidity 2025/26
-
Morbidity 2024/25
-
MEM baseline 2025/26
Epidemiological data showed decrease of influenza and other ARI activity in Russia in comparison with previous week. The nationwide ILI and ARI morbidity level (45.8 per 10 000 of population) was lower than national baseline (82.9) by 44.8%.
Weeks
-
Season 2025/26
-
Season 2024/25
-
MEM baseline
Incidence rate of clinically diagnosed influenza increase comparing to previous week and amounted to 0.11 per 10 000 of population, it was lower than pre-epidemic MEM baseline (0.45).
Weeks
-
Season 2025/26
-
Season 2024/25
-
MEM baseline
Hospitalization rate of clinically diagnosed influenza increased comparing to previous week and amounted to 0.043 per 10 000 of population, it was lower than pre-epidemic MEM baseline (0.099).
Influenza and ARVI laboratory testing results
Cumulative results of influenza laboratory diagnosis by rRT-PCR were submitted by 42 RBLs and two WHO NICs. According to these data as a result of 6118 patients investigation 56 (0.9%) respiratory samples were positive for influenza, including 4 cases of unsubtyped influenza A in 2 cities, 30 cases of influenza A(H1N1)pdm09 in 7 cities, 5 cases of influenza A(H3N2) in 1 city and 17 cases of influenza B in 8 cities.
7 influenza viruses were isolated on MDCK cell culture, including: 6 influenza A(H1N1)pdm09 viruses in Krasnodar (4), Moscow (1), Saint-Petersburg (1) and 1 case of influenza B virus in Moscow (1). Since the beginning of the season 1022 influenza viruses were isolated, including: 79 A(H1N1)pdm09 viruses, 934 A(H3N2) viruses and 9 influenza B viruses.
Antigenic characterization. Since the beginning of the season 2025-2026 614 influenza viruses have been antigenically characterized by the NICs in Saint-Petersburg and Moscow, including: 61 influenza A(H1N1)pdm09 viruses, 549 influenza A(H3N2) viruses and 4 influenza B viruses. 27 viruses A(H1N1)pdm09 were similar to the reference strains A/Victoria/4897/22 recommended in the vaccines for the Northern Hemisphere countries for the 2025-2026 season, 34 strains were a drift variant. 9 influenza A(H3N2) viruses were similar to the reference strain A/Croatia/10136RV/23, also recommended in vaccines for countries in the Northern Hemisphere for the 2025-2026 season, 528 A(H3N2) viruses were a drift variant, 11 viruses A(H3N2) were similar to the reference strain A/Thailand/8/2022, one strain was a drift variant of the reference strain A/Thailand/8/2022. 3 influenza B viruses were similar to the vaccine strain B/Austria/1359417/2021 and one strain was a drift variant of the reference strain B/Austria/1359417/2021.
Genetic characterization. Since the beginning of the season 2025-2026 sequenced 1922 influenza viruses in Saint-Petersburg. 1840 influenza A(H3N2) viruses were similar to the vaccine strain A/Croatia/10136RV/2023, of which 1784 viruses belong to clade 3C.2a1b.2a.2a.3a.1 subclade K, 56 viruses belong to clade 3C.2a1b.2a.2a.3a.1. 75 A(H1N1)pdm09 viruses were similar to the vaccine strain A/Victoria/4897/2022 and were classified as clade 6B.1A.5a.2a.1, one strain was related to the reference strain A/Sydney/5/2021 and assigned to clade 6B.1A.5a.2a. 6 strain B viruses were similar to the vaccine strain B/Austria/1359417/2021 and were classified as clade V1A.3a.2.
Susceptibility to antivirals. Since the beginning of the season 2025-2026, the sensitivity of 437 influenza viruses to neuraminidase inhibitors (oseltamivir, zanamivir) were studied in NIC (Moscow, Saint-Petersburg), including: 25 influenza A(H1N1)pdm09 viruses, 411 influenza A(H3N2) viruses and 1 influenza B virus. All studied viruses were sensitive to neuraminidase inhibitors.
-
No data
-
No viruses detected
-
H1pdm09
-
H3
-
H3+H1pdm09
-
B
-
B+H1pdm09
-
B+H3
-
B+H3+H1pdm09
-
A (not subt.)
-
A (not subt.)+H1pdm09
-
A (not subt.)+H3
-
A (not subt.)+H3+H1pdm09
-
A (not subt.)+B
-
A (not subt.)+B+H1pdm09
-
A (not subt.)+B+H3
-
A (not subt.)+B+H3+H1pdm09
% positive
Weeks
-
H1pdm09
-
H3
-
B
-
A (not subt.)
-
% positive
Weeks
-
PIV
-
ADV
-
RSV
-
RhV
-
CoV
-
MPV
-
BoV
ARVI detections. The overall proportion of respiratory samples tested positive for other ARVI (PIV, ADV, RSV, RhV, CoV, MPV, BoV) was estimated 19.6% of investigated samples by PCR.
% positive
Weeks
-
H1pdm09
-
H3
-
B
-
% positive
Table 1. Results of influenza and other ARVI detection by RT-PCR in Russia, week 18 of 2026
| Number of specimens / number of positive cases | % positive | |
| Influenza | ||
| Number of specimens tested for influenza | 6118 | - |
| Influenza A (not subt.) | 4 | 0,07% |
| Influenza A(H1)pdm09 | 30 | 0,5% |
| Influenza A(H3) | 5 | 0,08% |
| Influenza B | 17 | 0,3% |
| All influenza | 56 | 0,9% |
| Other ARVI | ||
| Number of specimens tested for ARVI | 6078 | - |
| PIV | 117 | 1,9% |
| ADV | 109 | 1,8% |
| RSV | 205 | 3,4% |
| RhV | 487 | 8,0% |
| CoV | 153 | 2,5% |
| MPV | 84 | 1,4% |
| BoV | 37 | 0,6% |
| All ARVI | 1192 | 19,6% |
| SARS-CoV-2 (COVID-19) | ||
| Number of specimens tested for SARS-CoV-2 | 8449 | - |
| SARS-CoV-2 | 83 | 1,0% |
-
No data
-
less then 10%
-
10-20%
-
20-30%
-
30-40%
-
40-50%
-
50% and more
COVID-19. According to the data obtained by NIC in Saint-Petersburg totally 8449 clinical samples were PCR investigated in last week. Among them coronavirus SARS-CoV-2 was detected in 83 (1.0%) cases.
Table 2. Results of influenza viruses isolation in Russia, week 18 of 2026
| Number of specimens / number of viruses | % isolated viruses | |
| Number of specimens | 37 | - |
| Influenza A(H1)pdm09 | 6 | 16,2% |
| Influenza A(H3) | 0 | 0,0% |
| Influenza B | 1 | 2,7% |
| All influenza | 7 | 18,9% |
Sentinel influenza surveillance
Clinical samples from 25 SARI patients were investigated by rRT-PCR for influenza, among them 1 (4.0%) case of influenza B was recognized. Among 25 SARI samples no positive cases for coronavirus SARS-CoV-2 were recognized. Among 25 SARI samples 10 (40.0%) cases positive for ARVI were detected including: 1 case of PIV, 1 case of ADV, 2 cases of RSV, 5 cases of RhV and 1 case of CoV infection.
Clinical samples from 27 ILI/ARI patient were investigated by rRT-PCR for influenza, among them no positive cases were recognized. Among 27 ILI/ARI samples 6 (22.2%) cases positive for ARVI were detected including: 1 case of PIV, 2 cases of RhV, 2 cases of MPV and 1 case of BoV infection. Among 27 ILI/ARI samples no positive cases for coronavirus SARS-CoV-2 were recognized.
% positive
Weeks
-
H1pdm09
-
H3
-
B
-
A (not subt.)
-
% positive
% positive
Weeks
-
H1pdm09
-
H3
-
B
-
A (not subt.)
-
% positive
Weeks
-
PIV
-
ADV
-
RSV
-
RhV
-
CoV
-
MPV
-
BoV
Weeks
-
PIV
-
ADV
-
RSV
-
RhV
-
CoV
-
MPV
-
BoV
Influenza morbidity forecasting
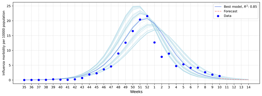
An influenza incidence forecast was performed. The forecast is based on the Baroyan–Rvachev model. Model calibration was carried out using data on registered influenza and acute respiratory infection (ARI) cases, as well as laboratory influenza diagnostics (PCR), from the beginning of the epidemic season (week 40) up to the week preceding the publication of the forecast. The data are presented with a one-calendar-week time step. Optimal parameters were identified using calibration algorithms, resulting in the construction of a model curve. The estimated parameters allow the model curve to be extended and a forecast to be generated for the next four weeks from the observation date (the week for which the bulletin is published).
Fig. 13. Results of influenza incidence modeling, season 2025/26.

In week 18 of 2026, a decrease in incidence was observed. The situation is expected to improve in the coming weeks.
